Simulation COVID

Ou comment utiliser les mathématiques pour comprendre la propagation de l’épidémie.

[16]:
%matplotlib inline

Enoncé

On récupère les données du COVID par région et par âge et premier graphe

A cette adresse : Données relatives à l’épidémie de COVID-19 en France : vue d’ensemble

[17]:
from pandas import read_csv, to_datetime

url = "https://www.data.gouv.fr/en/datasets/r/d3a98a30-893f-47f7-96c5-2f4bcaaa0d71"
covid = read_csv(url, sep=",")
covid["date"] = to_datetime(covid["date"])
covid.tail()
[17]:
date total_cas_confirmes total_deces_hopital total_deces_ehpad total_cas_confirmes_ehpad total_cas_possibles_ehpad patients_reanimation patients_hospitalises total_patients_gueris nouveaux_patients_hospitalises nouveaux_patients_reanimation
802 2022-05-13 NaN 118431 28826.0 NaN NaN 1233.0 19272.0 653050.0 756.0 77.0
803 2022-05-14 NaN 118494 28837.0 NaN NaN 1213.0 18901.0 653734.0 387.0 42.0
804 2022-05-15 NaN 118508 28844.0 NaN NaN 1214.0 18935.0 653827.0 145.0 13.0
805 2022-05-16 NaN 118633 28845.0 NaN NaN 1199.0 18742.0 654775.0 900.0 94.0
806 2022-05-17 NaN 118723 28845.0 NaN NaN 1173.0 18290.0 655984.0 883.0 106.0
[18]:
ax = covid.set_index("date").plot(
    title="Evolution des hospitalisations par jour", figsize=(14, 4)
)
ax.set_yscale("log");
../../_images/practice_algo-base_exercice_simulation_covid_5_0.png

Il y a quelques valeurs manquantes même pour les séries aggrégées… Comme je n’ai pas le courage de corriger les valeurs unes à unes, je prends un autre fichier et quelques aberrations comme le nombre de décès qui décroît, ce qui est rigoureusement impossible.

[19]:
from pandas import concat, to_datetime


def extract_data(kind="deaths", country="France"):
    url = (
        "https://raw.githubusercontent.com/CSSEGISandData/COVID-19/"
        "master/csse_covid_19_data/"
        "csse_covid_19_time_series/time_series_covid19_%s_global.csv" % kind
    )
    df = read_csv(url)
    eur = df[df["Country/Region"].isin([country]) & df["Province/State"].isna()]
    tf = eur.T.iloc[4:]
    tf.columns = [kind]
    return tf


def extract_whole_data(kind=["deaths", "confirmed", "recovered"], country="France"):
    population = {
        "France": 67e6,
    }

    total = population[country]
    dfs = []
    for k in kind:
        df = extract_data(k, country)
        dfs.append(df)
    conc = concat(dfs, axis=1)
    conc["infected"] = conc["confirmed"] - (conc["deaths"] + conc["recovered"])
    conc["safe"] = total - conc.drop("confirmed", axis=1).sum(axis=1)
    conc.index = to_datetime(conc.index)

    return conc


covid = extract_whole_data()
covid.tail()
/tmp/ipykernel_1222987/102400080.py:30: UserWarning: Could not infer format, so each element will be parsed individually, falling back to `dateutil`. To ensure parsing is consistent and as-expected, please specify a format.
  conc.index = to_datetime(conc.index)
[19]:
deaths confirmed recovered infected safe
2023-03-05 161407 38591184 0 38429777 28408816.0
2023-03-06 161450 38599330 0 38437880 28400670.0
2023-03-07 161474 38606393 0 38444919 28393607.0
2023-03-08 161501 38612201 0 38450700 28387799.0
2023-03-09 161512 38618509 0 38456997 28381491.0
[20]:
import matplotlib.pyplot as plt

fig, ax = plt.subplots(1, 2, figsize=(14, 4))
covid[["confirmed", "infected"]].plot(
    title="Evolution de l'épidémie par jour", ax=ax[0]
)
covid[["deaths", "recovered"]].plot(title="Evolution de l'épidémie par jour", ax=ax[1]);
../../_images/practice_algo-base_exercice_simulation_covid_8_0.png

Même aberration, un nombre décès qui décroît… Il faudrait comprendre pourquoi pour savoir comment réparer les données. Ou on improvise. Pour chaque observation X_t < X_{t-1}, on calcule le ratio \frac{X_{t}}{X_{t-1}} et on multiplie toutes les observations i<t par ce ratio.

[21]:
from tqdm import tqdm  # pour avoir une barre de progression


def correct_series(X):
    for t in range(1, X.shape[0]):
        if X[t - 1] > 0 and X[t] == 0:
            X[t] = X[t - 1]
            continue
        if X[t] >= X[t - 1] and X[t] < X[t - 1] + 200000:
            continue
        ratio = X[t] / X[t - 1]
        for i in range(0, t):
            X[i] *= ratio


covid_modified = covid.copy()
for c in tqdm(covid.columns):
    values = covid_modified[c].values
    correct_series(values)
    covid_modified[c] = values

covid_modified.tail()
100%|██████████| 5/5 [00:00<00:00, 83.39it/s]
[21]:
deaths confirmed recovered infected safe
2023-03-05 161407 38591184 342253 38429777 28381491.0
2023-03-06 161450 38599330 342253 38437880 28381491.0
2023-03-07 161474 38606393 342253 38444919 28381491.0
2023-03-08 161501 38612201 342253 38450700 28381491.0
2023-03-09 161512 38618509 342253 38456997 28381491.0
[22]:
fig, ax = plt.subplots(1, 2, figsize=(14, 4))
covid_modified[["confirmed", "infected"]].plot(
    title="Evolution de l'épidémie par jour", ax=ax[0]
)
covid_modified[["deaths", "recovered"]].plot(
    title="Evolution de l'épidémie par jour", ax=ax[1]
);
../../_images/practice_algo-base_exercice_simulation_covid_11_0.png

C’est mieux.

[23]:
covid = covid_modified

On lisse.

[24]:
lisse = covid.rolling(7).mean()
fig, ax = plt.subplots(1, 2, figsize=(14, 4))
lisse[["confirmed", "infected"]].plot(
    title="Evolution de l'épidémie par jour", ax=ax[0]
)
lisse[["deaths", "recovered"]].plot(title="Evolution de l'épidémie par jour", ax=ax[1]);
../../_images/practice_algo-base_exercice_simulation_covid_15_0.png

La série des recovered ne compte vraisemblablement que ceux qui sont passés à l’hôpital. Il faudrait recouper avec d’autres données pour être sûr. Ce sera pour un autre jour.

Modèle SIRD

Pour en savoir plus Modèles compartimentaux en épidémiologie. On classe la population en quatre catégories :

  • S : personnes non contaminées

  • I : nombre de personnes malades ou contaminantes

  • R : personnes guéries (recovered)

  • D : personnes décédées

Les gens changent de catégorie en fonction de l’évolution de l’épidémie selon les équations qui suivent :

  • \frac{dS}{dt} = - \beta \frac{S I}{N}

  • \frac{dI}{dt} = \frac{\beta S I}{N} - \mu I - \nu I

  • \frac{dD}{dt} = \nu I

  • \frac{dR}{dt} = \mu I

\beta est lié au taux de transmission, \frac{1}{\mu} est la durée moyenne jusqu’à guérison, \frac{1}{\nu} est la durée moyenne jusqu’au décès.

Q0 : une petite fonction pour dessiner

Cette fonction servira à représenter graphiquement les résultats.

[25]:
from datetime import datetime, timedelta


def plot_simulation(
    sim,
    day0=datetime(2020, 1, 1),
    safe=True,
    ax=None,
    title=None,
    logy=False,
    two=False,
    true_data=None,
):
    """
    On suppose que sim est une matrice (days, 4).
    :param sim: la simulation
    :param day0: le premier jour de la simulation (une observation par jour)
    :param safe: ajouter les personnes *safe* (non infectées), comme elles sont nombreuses,
        il vaut mieux aussi cocher *logy=True* pour que cela soit lisible
    :param ax: axes existant (utile pour superposer), None pour un créer un nouveau
    :param title: titre du graphe
    :param logy: échelle logarithmique sur l'axe des y
    :param two: faire deux graphes plutôt qu'un seul pour plus de visibilité
    :param true_data: vraies données à tracer également en plus de celle de la simulation
    :return: ax
    """
    df = DataFrame(sim, columns=["S", "I", "R", "D"])
    # On ajoute des dates.
    df["date"] = [day0 + timedelta(d) for d in range(0, df.shape[0])]
    df = df.set_index("date")
    if true_data is None:
        tdf = None
    else:
        tdf = DataFrame(true_data, columns=["Sobs", "Iobs", "Robs", "Dobs"])
        tdf["date"] = [day0 + timedelta(d) for d in range(0, tdf.shape[0])]
        tdf = tdf.set_index("date")

    if two:
        if ax is None:
            fig, ax = plt.subplots(1, 2, figsize=(14, 4))
        if safe:
            if tdf is not None:
                tdf.drop(["Dobs"], axis=1).plot(ax=ax[0], logy=logy, linewidth=8)
            df.drop("D", axis=1).plot(ax=ax[0], title=title, logy=logy, linewidth=4)
        else:
            if tdf is not None:
                tdf.drop(["Sobs", "Dobs"], axis=1).plot(
                    ax=ax[0], logy=logy, linewidth=8
                )
            df.drop(["S", "D"], axis=1).plot(
                ax=ax[0], title=title, logy=logy, linewidth=4
            )
        if tdf is not None:
            tdf["Dobs"].plot(ax=ax[1], title=title, logy=logy, linewidth=8)
        df[["D"]].plot(ax=ax[1], title="Décès", logy=logy, linewidth=4)
        ax[0].legend()
        ax[1].legend()
    else:
        if ax is None:
            fig, ax = plt.subplots(1, 1, figsize=(14, 4))
        if safe:
            if tdf is not None:
                tdf.plot(ax=ax, title=title, logy=logy, linewidth=8)
            df.plot(ax=ax, title=title, logy=logy, linewidth=4)
        else:
            if tdf is not None:
                tdf.drop(["Sobs"], axis=1).plot(
                    ax=ax, title=title, logy=logy, linewidth=8
                )
            df.drop(["S"], axis=1).plot(ax=ax, title=title, logy=logy, linewidth=4)
        ax.legend()
    return ax

Q1 : écrire une fonction qui calcule la propagation

On suppose que \beta, \mu, \nu, S_0, I_0, R_0, D_0 sont connus. On rappelle le modèle :

  • dS = - \beta \frac{S I}{N}

  • dI = \frac{\beta S I}{N} - \mu I - \nu I

  • dD = \nu I

  • dR = \mu I

[26]:
import numpy
[27]:
beta = 0.5
mu = 1.0 / 14
nu = 1.0 / 21
S0 = 9990
I0 = 10
R0 = 0
D0 = 0

Il faudra compléter le petit programme suivant :

[28]:
from pandas import DataFrame


def simulation(beta, mu, nu, S0, I0, R0, D0, days=14):
    res = numpy.empty((days + 1, 4), dtype=numpy.float64)
    res[0, :] = [S0, I0, R0, D0]
    N = sum(res[0, :])
    for t in range(1, res.shape[0]):
        dR = res[t - 1, 1] * mu
        # ....
    return res


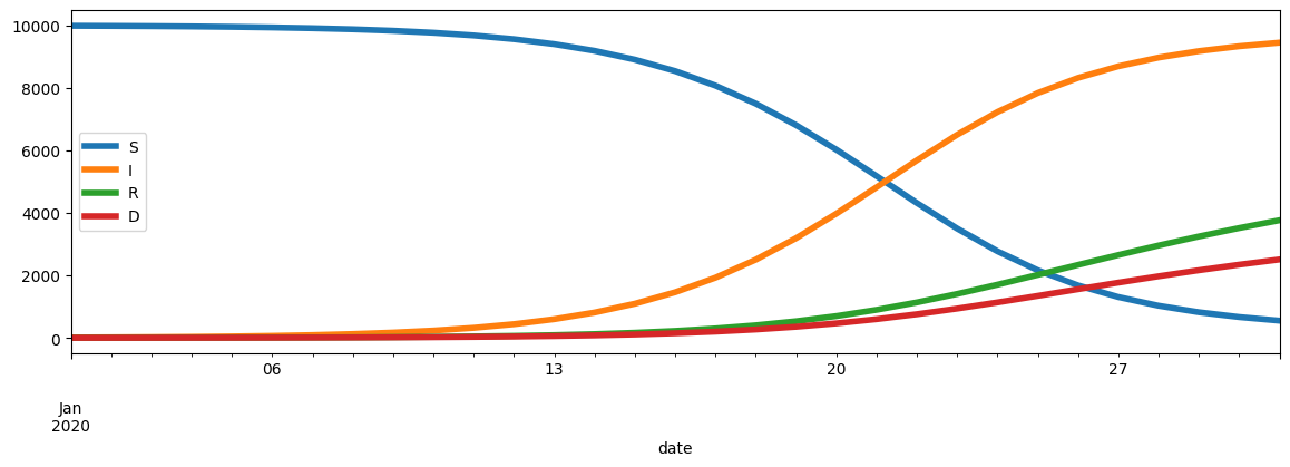
sim = simulation(beta, mu, nu, S0, I0, R0, D0, 30)
plot_simulation(sim);
../../_images/practice_algo-base_exercice_simulation_covid_24_0.png

Q2 : on veut estimer les paramètres du modèle, une fonction d’erreur ?

C’est compliqué parce que… les paramètres évoluent au cours du temps, en fonction du comportement des gens, masque, pas masque, confinement, reconfinement, température, manque de tests également… Tout d’abord les vraies données.

[29]:
lisse_mars = lisse[30:]
dates = lisse_mars.index
france = numpy.zeros((lisse_mars.shape[0], 4), dtype=numpy.float64)
france[:, 3] = lisse_mars["deaths"]
france[:, 2] = lisse_mars["recovered"]
france[:, 0] = lisse_mars["safe"]
france[:, 1] = lisse_mars["infected"]

france[:5]
[29]:
array([[2.83053672e+07, 1.16408750e+00, 3.62675631e+00, 9.85762961e-01],
       [2.83053672e+07, 1.16408750e+00, 3.62675631e+00, 9.85762961e-01],
       [2.83053672e+07, 1.16408750e+00, 3.62675631e+00, 9.85762961e-01],
       [2.83053672e+07, 1.16408750e+00, 3.62675631e+00, 9.85762961e-01],
       [2.83053672e+07, 1.16408750e+00, 4.53344539e+00, 9.85762961e-01]])
[30]:
plot_simulation(france, dates[0], safe=False, logy=True, title="Vraies données");
../../_images/practice_algo-base_exercice_simulation_covid_27_0.png

Et sur les derniers jours.

[31]:
plot_simulation(
    france[-60:],
    dates[-60],
    two=True,
    safe=False,
    title="Vraies données, derniers mois",
);
../../_images/practice_algo-base_exercice_simulation_covid_29_0.png

Bref, on part du principe que le modèle est plutôt fiable sur une courte période de temps, on tire plein de paramètres aléatoires et on regarde ce qui marche le mieux. Et pour comparer deux jeux de paramètres, il faut donc une fonction d’erreur qu’on prendra comme égal à la somme des erreurs de prédictions.

Maintenant il faut faire attention à ce qu’on compare. La simulation calcule les catégories de population au temps t, mais pas toujours les séries cumulées. La série des personnes contaminées est transitoire dans la simulation et cumulées dans les données récupérées. La première étape consiste à transformer les données simulées pour qu’elles soient comparables aux données collectées.

[32]:
def simulation_cumulee(beta, mu, nu, S0, I0, R0, D0, days=14):
    # ...
    pass

Maintenant la fonction d’erreur :

[33]:
def error(data, simulation):
    # ... à compléter
    return 0

Q3 : optimisation

Pour optimiser, on tire des paramètres de façon aléatoire dans un intervalle donné et on choisit ceux qui minimisent l’erreur.

[34]:
from tqdm import tqdm  # pour avoir une barre de progression


def optimisation(
    true_data,
    i_range=(0, 0.2),
    beta_range=(0, 0.5),
    mu_range=(0.0, 0.2),
    nu_range=(0.0, 0.2),
    max_iter=1000,
    error_fct=error,
):
    N = sum(true_data[0, :])
    rnd = numpy.random.rand(max_iter, 4)
    for i, (a, b) in enumerate([i_range, beta_range, mu_range, nu_range]):
        rnd[:, i] = rnd[:, i]  # à compléter ...

    err_min = None
    for it in tqdm(range(max_iter)):
        i, beta, mu, nu = rnd[it, :]

        D0 = true_data[0, 3]
        # dI0 =
        # S0 =
        # I0 =
        # R0 =
        sim = simulation_cumulee(
            beta, mu, nu, S0, I0, R0, D0, days=true_data.shape[0] - 1
        )
        err = error_fct(true_data, sim)
        if err_min is None or err < err_min:
            # à compléter
            pass
    return best
[ ]:

Q4 : dessiner les résultats

[ ]:

[ ]:

Q5 : vérifier que cela marche sur des données synthétiques

On simule, on vérifie que l’optimisation retrouve les paramètres de la simulation.

[ ]:

Q6 : sur des données réelles

[ ]:

Réponses

Q1 : propagation

On l’applique aux données réelles.

[35]:
from datetime import datetime, timedelta
from pandas import DataFrame


def simulation(beta, mu, nu, S0, I0, R0, D0, days=14):
    res = numpy.empty((days + 1, 4), dtype=numpy.float64)
    res[0, :] = [S0, I0, R0, D0]
    N = sum(res[0, :])
    for t in range(1, res.shape[0]):
        dR = res[t - 1, 1] * mu
        dD = res[t - 1, 1] * nu
        dI = res[t - 1, 0] * res[t - 1, 1] / N * beta
        res[t, 0] = res[t - 1, 0] - dI
        res[t, 1] = res[t - 1, 1] + dI - dR - dD
        res[t, 2] = res[t - 1, 2] + dR
        res[t, 3] = res[t - 1, 3] + dD
    return res


beta = 0.5
mu = 1.0 / 14
nu = 1.0 / 21
S0 = 9990
I0 = 10
R0 = 0
D0 = 0

sim = simulation(beta, mu, nu, S0, I0, R0, D0, 60)
plot_simulation(sim, dates[60], safe=False, two=True, title="Simulation pour essayer");
../../_images/practice_algo-base_exercice_simulation_covid_46_0.png

Q2 : série cumulées et fonction erreur

On doit d’abord calculer la simulation qui modifie I_t en J_t qui correspond à l’ensemble des personnes contaminées jusqu’à présent.

[36]:
def simulation_cumulee(beta, mu, nu, S0, I0, R0, D0, days=14):
    res = numpy.empty((days + 1, 4), dtype=numpy.float64)
    cum = numpy.empty((days + 1, 1), dtype=numpy.float64)
    res[0, :] = [S0, I0, R0, D0]
    cum[0, 0] = I0
    N = sum(res[0, :])
    for t in range(1, res.shape[0]):
        dR = res[t - 1, 1] * mu
        dD = res[t - 1, 1] * nu
        dI = res[t - 1, 0] * res[t - 1, 1] / N * beta
        res[t, 0] = res[t - 1, 0] - dI
        res[t, 1] = res[t - 1, 1] + dI - dR - dD
        res[t, 2] = res[t - 1, 2] + dR
        res[t, 3] = res[t - 1, 3] + dD
        cum[t, 0] = cum[t - 1, 0] + dI
    res[:, 1] = cum[:, 0]
    return res


beta = 0.5
mu = 1.0 / 14
nu = 1.0 / 21
S0 = 9990
I0 = 10
R0 = 0
D0 = 0

sim = simulation_cumulee(beta, mu, nu, S0, I0, R0, D0, 60)
plot_simulation(sim, dates[60], safe=False, two=True, title="Simulation pour essayer");
../../_images/practice_algo-base_exercice_simulation_covid_48_0.png

On compare avec les vraies données en gras.

[37]:
beta = 0.04
mu = 0.03
nu = 0.0001
S0, I0, R0, D0 = france[120, :]
sim = simulation_cumulee(beta, mu, nu, S0, I0, R0, D0, 120)
plot_simulation(
    sim,
    dates[120],
    safe=False,
    two=True,
    true_data=france[120:240],
    title="Simulation et vraies données (en gros)",
);
../../_images/practice_algo-base_exercice_simulation_covid_50_0.png

Pas simple de choisir des paramètres pour approximer la courbe.

[38]:
def error(data, simulation):
    err = (data[:, 1] - simulation[:, 1]) ** 2 + (data[:, 3] - simulation[:, 3]) ** 2
    total = (numpy.sum(err) / data.shape[0]) ** 0.5
    return total


beta = 0.5
mu = 1.0 / 14
nu = 1.0 / 21
S0 = 9990
I0 = 10
R0 = 0
D0 = 0

sim = simulation_cumulee(beta, mu, nu, S0, I0, R0, D0, 30)
plot_simulation(sim);
../../_images/practice_algo-base_exercice_simulation_covid_52_0.png

On regarde si on arrive à retrouver les paramètres de la simulation.

Q3, Q4, Q5 : optimisation sur des données synthétiques

[39]:
from tqdm import tqdm  # pour avoir une barre de progression


def optimisation(
    true_data,
    i_range=(0, 0.2),
    beta_range=(0, 0.5),
    mu_range=(0.0, 0.2),
    nu_range=(0.0, 0.2),
    max_iter=1000,
    error_fct=error,
):
    N = sum(true_data[0, :])
    rnd = numpy.random.rand(max_iter, 4)
    for i, (a, b) in enumerate([i_range, beta_range, mu_range, nu_range]):
        rnd[:, i] = rnd[:, i] * (b - a) + a
    err_min = None
    for it in tqdm(range(max_iter)):
        i, beta, mu, nu = rnd[it, :]
        dI0 = true_data[0, 0] * i
        D0 = true_data[0, 3]
        S0 = true_data[0, 0] - dI0
        I0 = true_data[0, 1] + dI0
        R0 = N - D0 - I0 - S0
        sim = simulation_cumulee(
            beta, mu, nu, S0, I0, R0, D0, days=true_data.shape[0] - 1
        )
        err = error_fct(true_data, sim)
        if err_min is None or err < err_min:
            err_min = err
            best = dict(
                beta=beta,
                mu=mu,
                nu=nu,
                I0=I0,
                i=i,
                S0=S0,
                R0=R0,
                D0=D0,
                err=err,
                sim=sim,
            )
    return best


beta = 0.04
mu = 0.07
nu = 0.04
S0 = 67e6
I0 = 100000
R0 = 10000
D0 = 10000
sim = simulation_cumulee(beta, mu, nu, S0, I0, R0, D0, 30)


res = optimisation(sim, max_iter=2000, error_fct=error, i_range=(0.0, 0.001))
sim_opt = res["sim"]
del res["sim"]
plot_simulation(
    sim_opt,
    dates[90],
    safe=False,
    two=True,
    true_data=sim,
    title="beta=%1.3f mu=%1.3f nu=%1.3f err=%1.3g i=%1.3g"
    % (res["beta"], res["mu"], res["nu"], res["err"], res["i"]),
);
100%|██████████| 2000/2000 [00:00<00:00, 14320.85it/s]
../../_images/practice_algo-base_exercice_simulation_covid_55_1.png

Ca ne marche pas trop mal.

Q6 : sur des données réelles

[40]:
res = optimisation(france[180:], error_fct=error, i_range=(0, 0.0001))
sim = res["sim"]
del res["sim"]
plot_simulation(
    sim,
    dates[180],
    safe=False,
    two=True,
    true_data=france[180:],
    title="beta=%1.3f mu=%1.3f nu=%1.3f err=%1.3f i=%1.3f"
    % (res["beta"], res["mu"], res["nu"], res["err"], res["i"]),
);
100%|██████████| 1000/1000 [00:01<00:00, 602.45it/s]
../../_images/practice_algo-base_exercice_simulation_covid_58_1.png

Ca ne marche pas super. On peut modifier l’erreur pour donner plus d’importance à la courbe des morts.

[41]:
def error_norm(data, simulation):
    m1 = numpy.max(simulation[:, 1])
    m3 = numpy.max(simulation[:, 3])
    err = (data[:, 1] - simulation[:, 1]) ** 2 / m1**2 + (
        data[:, 3] - simulation[:, 3]
    ) ** 2 / m3**2
    total = (numpy.sum(err) / data.shape[0]) ** 0.5
    return total


res = optimisation(france[150:], error_fct=error_norm, i_range=(0, 0.001))
sim = res["sim"]
del res["sim"]
plot_simulation(
    sim,
    dates[150],
    safe=False,
    two=True,
    true_data=france[150:],
    title="beta=%1.3f mu=%1.3f nu=%1.3f err=%1.3f i=%1.3f"
    % (res["beta"], res["mu"], res["nu"], res["err"], res["i"]),
);
100%|██████████| 1000/1000 [00:01<00:00, 548.73it/s]
../../_images/practice_algo-base_exercice_simulation_covid_60_1.png

L’erreur est répartie sur l’ensemble de la courbe mais cela ne tient pas compte de la dynamique. Il faudrait prendre en compte les dérivées comme dans l’aticle A Modified SIR Model for the COVID-19 Contagion in Italy. Ou partir sur une approche plus directe comme celle proposée dans l’article Estimating and Simulating a SIRD Model of COVID-19 for Many Countries, States, and Cities. \frac{dS}{dt} = - \beta \frac{S I}{N} implique que \Delta(S_t) = S_{t+1} - S_t = -\beta \frac{S_t I_t}{N}. On peut alors calculer une sorte de \beta_t dépendant du temps : \beta_t = -N\frac{S_{t+1} - S_t}{S_t I_t}. Le problème, c’est I_t qu’on ne connaît pas puisque c’est le nombre de personnes contaminantes à un instant t. On ne connaît pas plus S_t mais on peut le déduire si on connaît I_t. Cela dit, le paramètre \nu est plus ou moins connu puisqu’il s’agit de l’inverse de la durée moyenne d’incubation jusqu’au décès. De là, on peut retrouver \beta. On poursuit en passant au logarithme \ln \beta_t = \ln N + \ln (S_t - S_{t+1}) - \ln S_t - \ln I_t. Le nombre de cas positifs découverts chaque jour correspond à S_t - S_{t+1}. On ajoute que \forall t, N = S_t + I_t + R_t + D_t et D_{t+1} - D_t = \nu I_t. Donc :

\ln \beta_t = \ln N + \ln (S_t - S_{t+1}) - \ln (S_t - S_{t-1} + S_{t-1}) - \ln (D_{t+1} - D_t) + \ln \nu

Il y a deux inconnues, \ln \beta - \ln \nu qu’on suppose constant pendant la période et S_{t-1}. Il suffit d’écrire ces équations sur quelques jours puis de résoudre le système d’équations.

\begin{array}{l}
\ln \beta - \ln \nu = \ln N + \ln (S_t - S_{t+1}) - \ln (S_t - S_{t-1} + S_{t-1}) - \ln (D_{t+1} - D_t) \\
\ln \beta - \ln \nu = \ln N + \ln (S_{t+1} - S_{t+2}) - \ln (S_{t+1} - S_{t} + S_{t} - S_{t-1} + S_{t-1}) - \ln (D_{t+2} - D_{t+1})
\end{array}

D’autres directions sont possibles comme The Parameter Identification Problem for SIR Epidemic Models: Identifying Unreported Cases qui propose d’estimer les paramètres sur une plus grande période.

D’autres articles : Introduction to inference: parameter estimation, Data-based analysis, modelling and forecasting of the COVID-19 outbreak, Identification and estimation of the SEIRD epidemic model for COVID-19.

Quelques liens :

[ ]:


Notebook on github