Tous les notebooks¶
Python¶
Python

2048 et les classes
Jeu de dé, rotation sur un circuit (classes)
Un bref aperçu des classes
Liste, tuple, ensemble, dictionnaire, liste chaînée, coût des opérations

Simuler une loi multinomiale

Jeux de coloriage

Jeu de dé, rotation sur un circuit

Répartition, table de hashage
JSON - XML

Calculs de surface et autres calculs
Expressions régulières
Sérialisation avec JSON, XML, pickle
Histogramme et dictionnaire

Heap

Pivot de gauss avec numpy
Profiling la fonction Gini
Profiling, application à la convolution
Exemple de profiling

Recherche dichotomique

Web-Scraping - pokemon
D’une structure de données à l’autre
Calculer un chi 2 sur un tableau de contingence
Tests unitaires

Tri plus rapide que prévu
Algorithmes¶
Algorithmes

Algorithmes de streaming, BJKST

Graphe et Composantes connexes
Distance d’édition
Distance entre deux mots de même longueur et tests unitaires
Calculer le nombre de façons de monter une échelle.

La sous-séquence de plus grande somme

Simulation COVID
Problème d’ordonnancement

Graphes aléatoires

Modèle épidémiologique (SIRD)
Jeux de dictionnaires, plus grand suffixe commun

Les k premiers éléments (top k)

TSP - Traveling Salesman Problem
Calculer x**n le plus rapidement possible

Produit matriciel avec une matrice creuse

Aparté sur le voyageur de commerce
Problèmes¶
Enoncé - Correction¶
Python
Classes, héritage
Classes, héritage (correction)
Classes, méthodes, attributs, opérateurs et carré magique
Classes, méthodes, attributs, opérateurs et carré magique (correction)
Dictionnaires, fonctions, code de Vigenère
Dictionnaires, fonctions, code de Vigenère (correction)

Intégrale et la méthode des rectangles

Intégrale et la méthode des rectangles - correction

2048 - stratégie gagnante

2048 - stratégie gagnante - correction
Modules, fichiers, expressions régulières
Modules, fichiers, expressions régulières (correction)
Premiers pas en Python
Premiers pas en Python (correction)

Tracer une pyramide bigarrée

Tracer une pyramide bigarrée - correction
Deviner la langue d’un texte

Deviner la langue d’un texte (correction)

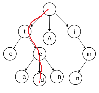
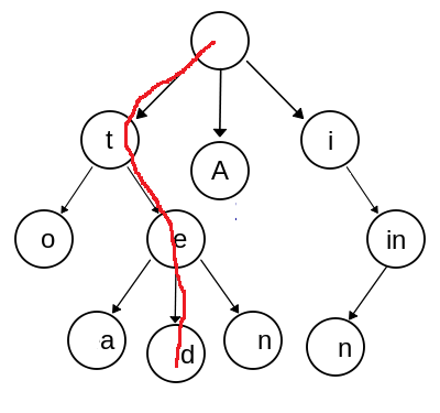
Arbre et Trie

Arbre et Trie (correction)
Variables, boucles, tests

Variables, boucles, tests (correction)
Algorithmes
Puzzles algorithmiques (1)

Puzzles algorithmes (1) - correction
Puzzles algorithmiques (2)
Puzzles algorithmes (2) - correction
Cryptage homomorphic de Craig Gentry
Cryptage homomorphic de Craig Gentry - correction
Plus proches voisins en grande dimension

Plus proches voisins en grande dimension - correction
Programmation dynamique et plus court chemin

Programmation dynamique et plus court chemin (correction)
Data¶
Correction d’examens¶
Examens

1A.e - TD noté, 27 novembre 2012 (coloriage, correction)
1A.e - Correction de l’interrogation écrite du 26 septembre 2014
1A.e - Correction de l’interrogation écrite du 10 octobre 2014
1A.e - Correction de l’interrogation écrite du 14 novembre 2014
1A.e - Correction de l’interrogation écrite du 14 novembre 2014
1A.e - Correction de l’interrogation écrite du 26 septembre 2015
1A.e - Correction de l’interrogation écrite du 6 novembre 2015
1A.e - TD noté 2015 rattrapage (énoncé, écrit et oral)
1A.e - TD noté, 5 décembre 2014

1A.e - TD noté, 11 décembre 2015
1A.e - TD noté, 16 décembre 2016

Evaluation Python / Machine Learning année 2017 - solution
1A.e - TD noté, 21 février 2017

1A.e - Enoncé 12 décembre 2017 (1)

1A.e - Enoncé 12 décembre 2017 (2)

1A.e - Enoncé 23 octobre 2018 (1)

1A.e - Enoncé 23 octobre 2018 (2)

1A.e - Enoncé 22 octobre 2019 (1)

1A.e - Enoncé 22 octobre 2019 (2)

1A - Enoncé 24 novembre 2020
1A - Enoncé 3 novembre 2021
1A - Enoncé 15 novembre 2021 - rattrapage

1A - Enoncé 3 mars 2022- rattrapage
1A - Enoncé 26 octobre 2022
1A - Enoncé 8 novembre 2023-2024
1A - Enoncé 2024
Machine Learning¶
machine learning

ACP - projection

Prédiction de la note des vins

Régression polynômiale et pipeline

Plus proches voisins - évaluation

Base d’apprentissage et de test
Découpage stratifié apprentissage / test

Validation croisée (cross-validation)

Sélection des hyper-paramètres

Régression logistique et courbe ROC

Régression logistique en 2D

Plusieurs modèles, données disjointes

Classifications et courbes ROC
Classification multi-classe

Classification multi-classe et stacking

Classification multi-classe et jeu mal balancé

Features ou modèle

Tree, hyperparamètres, overfitting

Gradient Boosting

Régression Ridge, Lasso et nouvel estimateur
Un nouvel estimateur basé sur scikit-learn
Prétraitement des catégories ou des dates

Prétraitement d’une image
Prétraitement du son
Prétraitement du texte








