gdot¶
This directive displays dot graph in the documentation. It relies on Graphviz.
Usage¶
In conf.py:
extensions = [ ...
    'sphinx.ext.graphviz',
    'sphinx_runpython.gdot',
]
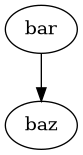
One example:
.. gdot::
    :format: png
    digraph foo {
        "bar" -> "baz" -> "end";
    }
Which gives:

The output format is an image (PNG). It can be changed to use SVG but it requires viz.js to be displayed.
.. gdot::
    :format: svg
    digraph foo {
        "bar" -> "baz" -> "svg";
    }
The graph may also be the output of a script.
.. gdot::
    :format: svg
    :script: AFTER-THIS
    print("before the graph")
    print("AFTER-THIS", """
    digraph foo {
        "bar" -> "baz" -> "script";
    }
    """)
Finally, the tag :process: can be used to run the script in a separate process.
Directive¶
- class sphinx_runpython.gdot.sphinx_gdot_extension.GDotDirective(name, arguments, options, content, lineno, content_offset, block_text, state, state_machine)[source]¶
- A - gdotnode displays a DOT graph. The build choose SVG for HTML format and image for other format unless it is specified.- format: SVG or HTML 
- script: boolean or a string to indicate than the standard output
- should only be considered after this substring 
 
- url: url to viz.js, only if format SVG is selected 
- process: run the script in an another process 
 - Example: - .. gdot:: digraph foo { "bar" -> "baz"; } - Which gives:  - The directive also accepts scripts producing dot graphs on the standard output. Option script must be specified. This extension loads sphinx.ext.graphviz if not added to the list of extensions: - Example: - .. gdot:: :format: png digraph foo { "bar" -> "baz"; }  - The output can be produced by a script: - .. gdot:: :script: print(''' digraph foo { "bar" -> "baz"; } ''') 